关注
码龄
粉丝数
原力等级 --
被采纳
被点赞
采纳率
问题不大、
2023-09-22 23:55
采纳率: 0%
浏览 8
首页
数学
非满秩矩阵的幺正变换问题
抽象代数
数据分析
算法
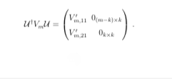
Vm为一个非满秩矩阵,先将其幺正变换,再将矩阵的核用一组正交向量展开,得到如图矩阵右侧都是0的形式。请问如何得到该幺正变换矩阵?
收起
写回答
好问题
0
提建议
关注问题
微信扫一扫
点击复制链接
分享
邀请回答
编辑
收藏
删除
结题
收藏
举报
1
条回答
默认
最新
关注
码龄
粉丝数
原力等级 --
被采纳
被点赞
采纳率
CSDN-Ada助手
CSDN-AI 官方账号
2023-09-23 08:16
关注
【相关推荐】
帮你找了个相似的问题, 你可以看下:
https://ask.csdn.net/questions/7737429
您还可以看一下
尹成
老师的
区块链之实战VM虚拟机开发
课程中的
项目问题大全
小节, 巩固相关知识点
如果你已经解决了该问题, 非常希望你能够分享一下解决方案, 写成博客, 将相关链接放在评论区, 以帮助更多的人 ^-^
本回答被题主选为最佳回答
, 对您是否有帮助呢?
本回答被专家选为最佳回答
, 对您是否有帮助呢?
本回答被题主和专家选为最佳回答
, 对您是否有帮助呢?
解决
无用
1
评论
打赏
微信扫一扫
点击复制链接
分享
举报
评论
按下Enter换行,Ctrl+Enter发表内容
查看更多回答(0条)
向“C知道”追问
报告相同问题?
提交
关注问题
精品推荐教程 清华大学出品 高等应用
数学
问题
的MATLAB求解 04 线性代数
问题
的计算机求解(共155页).ppt
2021-12-11 19:48
教程详细介绍了如何利用MATLAB进行线性代数
问题
的计算机求解,这包括了特殊
矩阵
的输入、
矩阵
基本分析、
矩阵
的基本
变换
、
矩阵
方程的求解、非线性运算与
矩阵
函数求值等多个关键主题。 在特殊
矩阵
的输入部分,教程详细...
备战
数学
建模1-MATLAB
矩阵
相关
2022-04-11 20:21
nuist__NJUPT的博客
目录 一、数值数据 二、常用函数 三、变量及其操作 四、
矩阵
的基础应用 五、MATLAB基本运算 六、字符串处理 七、特殊
矩阵
八、
矩阵
变换
九、
矩阵
求值 十、
矩阵
的特征值与特征向量 十一、稀疏
矩阵
一、数值数据 (1)...
13、多参考
问题
中动态关联的
正
则
变换
理论
2025-10-09 11:33
rgv234567的博客
本文介绍了一种用于处理量子化学中多参考
问题
的
正
则
变换
(CT)理论,旨在精确描述同时包含非动态和动态电子关联的体系。该理论通过
幺
正
变换
将参考波函数(如CASSCF或DMRG)与动态关联相结合,在保持形式上的厄米性和...
电力系统节点导纳
矩阵
详解
2025-05-25 10:03
Jude_lennon的博客
节点导纳
矩阵
是稀疏对称方阵,其阶数等于网络节点数,非对角元素为节点间支路导纳的负值,对角元素为节点所连支路导纳之和。对于变压器支路采用π型等值电路处理。当网络拓扑变化时,可通过局部修改避免重新计算:...
【
矩阵
论】5. 线性空间与线性
变换
——线性空间
2023-01-09 15:48
AmosTian的博客
线性空间概念 由定义判断线性空间 线性空间的基与维数 基的性质 基的扩充 线性表示 线性相关与线性无关 基
变换
与坐标
变换
线性
变换
学习笔记
2025-07-28 07:28
lxiaoj111的博客
使用C++实现线性
变换
Math Reference Notes:
矩阵
基础
2025-01-14 16:21
大邳草民的博客
非奇异
矩阵
则表示
矩阵
的列向量线性无关,其
秩
等于
矩阵
的阶数。 4.
矩阵
的运算
矩阵
之间可以进行各种运算,包括加法、减法、标量乘法、
矩阵
乘法、转置等。
矩阵
加法和减法
矩阵
的加法和减法是按元素进行的,要求两个...
线性空间和线性
变换
2022-06-22 19:55
小姜爱学习!的博客
线性空间、子空间、基和维数、极大无关组、线性映射、线性
变换
、子空间、核空间、值域、直和、同构
矩阵
分析与应用(一)——
矩阵
基础知识、广义逆
2022-09-09 14:57
间宫羽咲sama的博客
以前自学过一些
矩阵
分析,现在研究生再次学到这门课,倍感亲切。因为是上网课,相当于再自学一遍,顺便将自学笔记整理发出来。参考书目:张贤达《
矩阵
分析与应用》(第二版)本文讲得比较杂且浅,只介绍了概念和最...
矩阵
计算器:IT领域的
矩阵
运算伴侣
2025-05-14 03:41
Suvo Sarkar的博客
在
数学
、物理学以及工程学等众多领域中,
矩阵
是表达和处理线性关系的强大工具。
矩阵
加法与减法是线性代数中最基础的运算之一,具有以下特点:维数一致性:只有当两个
矩阵
的行数和列数相同时,它们才可以进行加法或...
没有解决我的问题,
去提问
向专家提问
向AI提问
付费问答(悬赏)服务下线公告
◇ 用户帮助中心
◇ 新手如何提问
◇ 奖惩公告
问题事件
关注
码龄
粉丝数
原力等级 --
被采纳
被点赞
采纳率
创建了问题
9月22日