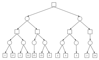
编写算法实现α-β 剪枝,要求输出博弈树节点的值,中间结果,最终结果,剪掉了哪些枝叶
提交完整代码

关注使用Python编程实现α-β剪枝算法可以实现博弈树的剪枝,同时输出博弈树节点的值,中间结果,最终结果,剪掉了哪些枝叶。具体步骤如下:
构建博弈树,可以使用MinMax方法补全博弈树缺失值。
实现α-β剪枝算法,该算法可以剪掉一些不必要的枝叶,从而减少计算量。
输出博弈树节点的值,中间结果,最终结果,剪掉了哪些枝叶。
下面是一个示例代码,可以实现以上功能:
class AlphaBeta:
def __init__(self, tree, auto=False):
self.tree = tree
self.auto = auto
def alpha_beta(self):
return self.max_value(self.tree.root, float('-inf'), float('inf'))
def max_value(self, node, alpha, beta):
if self.auto:
print('Max:', node.val, alpha, beta)
if node.is_leaf():
return node
v = float('-inf')
best = None
for child in node.children:
min_val = self.min_value(child, alpha, beta)
if min_val.val > v:
v = min_val.val
best = child
if v >= beta:
if self.auto:
print('Max:', node.val, alpha, beta, '剪枝')
return min_val
alpha = max(alpha, v)
node.val = v
node.best = best
return node
def min_value(self, node, alpha, beta):
if self.auto:
print('Min:', node.val, alpha, beta)
if node.is_leaf():
return node
v = float('inf')
best = None
for child in node.children:
max_val = self.max_value(child, alpha, beta)
if max_val.val < v:
v = max_val.val
best = child
if v <= alpha:
if self.auto:
print('Min:', node.val, alpha, beta, '剪枝')
return max_val
beta = min(beta, v)
node.val = v
node.best = best
return node