关注
码龄
粉丝数
原力等级 --
被采纳
被点赞
采纳率
moting_1
2023-11-01 22:26
采纳率: 0%
浏览 34
首页
编程语言
已结题
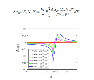
matlab实现公式所示的柯西主值积分
¥20
matlab
其中h,c为定值,E的范围为[1,3],分子Delta_alpha_BF()是与E相关的数值,目标结果如图曲线所示
求过程代码
收起
写回答
好问题
0
提建议
关注问题
微信扫一扫
点击复制链接
分享
邀请回答
编辑
收藏
删除
收藏
举报
15
条回答
默认
最新
关注
码龄
粉丝数
原力等级 --
被采纳
被点赞
采纳率
专家-赤兔[在线]
优质创作者: 编程框架技术领域
2023-11-01 22:26
关注
获得0.80元问题酬金
稍等!
本回答被题主选为最佳回答
, 对您是否有帮助呢?
本回答被专家选为最佳回答
, 对您是否有帮助呢?
本回答被题主和专家选为最佳回答
, 对您是否有帮助呢?
解决
1
无用
评论
打赏
微信扫一扫
点击复制链接
分享
举报
评论
按下Enter换行,Ctrl+Enter发表内容
查看更多回答(14条)
向“C知道”追问
报告相同问题?
提交
关注问题
Hilbertf:计算有限区间内的
柯西
主值
积分
-
matlab
开发
2021-06-01 19:25
用户提供的函数的
柯西
主值
积分
(也称为 Finte Hilbert 变换)由双指数求积求值。 这只是变量变化后的梯形
积分
。 正交点是围绕新变量中的评估点对称选择的。 编码归功于 Mohankumar 和 Natarajan。
matlab
柯西
主值
积分
,希尔伯特-黄变换基本概念
2021-04-23 20:29
weixin_39623050的博客
任意一个时间序列g(t)的希尔伯特变换\(\hat g(t)\),它的数学表达式是: \(\hat g(t) = \frac{1}{\pi}P\int_{-\infty}^{\infty}\frac{g(\tau)}{t - \tau}d\tau = \frac{P}{\pi t} * g(t)\) 式中,P为
柯西
主值
,为...
matlab
柯西
主值
积分
,专业导论大纲
2021-04-23 20:29
longyin726的博客
3.10 逗号运算符和逗号表达式 第四章最简单的C程序设计----顺序程序设计 教学目的与要求 掌握赋值语句、数据输入输出的
实现
、字符数据的输入输出、格式输入与输出 熟练掌握顺序结构程序设计 教学重点和难点 教学重点...
光学仿真-
matlab
-
柯西
公式
拟合不同玻璃色散曲线-包含正常/反常色散 (含不同玻璃折射率数据)
2022-08-10 16:05
柯西
公式
(Cauchy's dispersion formula)是一种简化的色散模型,通常用于近似描述透明介质的折射率,
公式
为n(λ) = A + B/λ^2 + C/λ^4,其中n(λ)是折射率,λ是波长,A、B、C是与材料相关的常数。 "DataRead.m...
抽取
柯西
分布随机数_
matlab
_
柯西
_生成
柯西
分布随机数_
2021-10-03 15:10
在
MATLAB
中生成
柯西
分布随机数是一项常见的统计模拟任务,尤其在处理异常值或噪声数据时,
柯西
分布常被用作一个有用的模型。本文将深入探讨如何使用
MATLAB
来生成
柯西
分布的随机数,同时解释其背后的数学原理。
柯西
...
Cauchy奇异
积分
的数值计算程序
2024-04-28 10:54
接触力学中常见的Cauchy奇异
积分
的数值计算方法,c语言源代码。代码非常简单,也可以转换为
matlab
代码。亲测有效。
Cauchy分布
MATLAB
代码
2022-07-06 18:11
Cauchy分布
MATLAB
代码,需要自己设置均值和标准差。
积分
的
柯西
施瓦茨不等式:探索
积分
的
柯西
施瓦茨不等式-
matlab
开发
2021-05-29 17:42
积分
的
柯西
施瓦茨不等式是数学分析中的一个重要工具,特别是在实分析和泛函分析领域。这个不等式揭示了两个平方可积函数乘积的
积分
与它们各自平方的
积分
之间的关系。在
MATLAB
中,我们可以利用编程来直观地理解和探索...
C++:使用高斯-勒让德正交估计计算
柯西
主值
的奇异
积分
2023-08-25 01:04
代码编织创造的博客
在数值计算中,
柯西
主值
是一类具有奇异点的
积分
的特殊处理方法。高斯-勒让德正交是一种常用的数值...函数
实现
了高斯-勒让德正交估计
柯西
主值
的奇异
积分
的算法。的值可以提高结果的准确性,但也会增加计算的时间复杂度。
融合自适应惯性权重与
柯西
变异的秃鹰搜索算法及其
Matlab
实现
2025-04-03 19:30
内容概要:本文介绍了融合自适应惯性权重和
柯西
变异的秃鹰搜索算法(BES),并提供了详细的
Matlab
实现
方法。首先,通过Tent混沌映射初始化种群,确保种群的多样性和均匀分布,避免陷入局部最优。其次,采用自适应...
混合
柯西
变异与均匀分布蝗虫优化算法(HCUGOA)的
MATLAB
实现
2025-08-14 19:23
此外,文中提供了详细的
MATLAB
代码
实现
及注释,便于理解和实际应用。 适合人群:从事优化算法研究的科研人员、研究生以及对智能优化算法感兴趣的开发者。 使用场景及目标:适用于需要解决复杂优化问题的研究项目,...
柯西
积分
公式
课件
2023-10-03 12:28
柯西
积分
公式
最初是针对有界区域的,但在复分析中,有一些推广形式适用于无界区域,如
柯西
主值
(Cauchy principal value)或无穷乘积展开等。然而,这些推广通常需要更复杂的分析,并涉及到函数在无限远处的行为。 ...
C 代码 使用高斯-勒让德正交估计
柯西
主值
(CPV)的某些奇异
积分
.rar
2023-05-26 23:56
柯西
主值
(Cauchy Principal Value)是一种处理函数在某点有奇点时
积分
的方式。当
积分
路径穿过奇点时,直接计算
积分
可能会导致无穷大。而
柯西
主值
定义为
积分
路径从奇点两侧无限接近但不包含奇点时的极限。在C语言...
【超级棒的算法改进】融合鱼鹰和
柯西
变异的麻雀优化算法研究(
Matlab
代码
实现
)
2025-11-10 11:01
适合人群:具备一定智能优化【超级棒的算法改进】融合鱼鹰和
柯西
变异的麻雀优化算法研究(
Matlab
代码
实现
)算法基础,熟悉
Matlab
编程,从事人工智能、运筹优化、自动化或相关工程领域研究的研发人员与高校研究生。...
没有解决我的问题,
去提问
向专家提问
向AI提问
付费问答(悬赏)服务下线公告
◇ 用户帮助中心
◇ 新手如何提问
◇ 奖惩公告
问题事件
关注
码龄
粉丝数
原力等级 --
被采纳
被点赞
采纳率
系统已结题
11月9日
关注
码龄
粉丝数
原力等级 --
被采纳
被点赞
采纳率
赞助了问题酬金20元
11月1日
关注
码龄
粉丝数
原力等级 --
被采纳
被点赞
采纳率
创建了问题
11月1日