非支配鲸鱼优化算法,是将NSGA-II中的非支配排序算子引入鲸鱼算法,改进成多目标优化算法吗?

关注【相关推荐】
1.对于多余一个的目标函数在给定区域内的最优化问题称为多目标优化问题。
例如:在给定条件下,设计一款汽车,既要满足安全(重量大),又要满足经济(耗油量小)即为多目标最优化问题。
该模型通常可总述为:

其中x=(x1,x2,x3…xn)所在的空间Ω称为决策空间(可行解空间),向量F(x)所在的空间为目标空间
不同于单目标优化,在多目标优化中,各目标函数之间是相互冲突的。导致不一定存在在所有目标函数上都是最优解,某个解可能在一个目标函数中是最优的,但在另一个目标函数中是最差(判断多目标优化问题的关键)
因此,多目标最优化问题得到的通常是一个解集,他们之间不能简单地比较优劣,这样的被称为非支配解(有效解),Pareto最优解。
定义一
向量支配对于最小化问题,一个向量u=(u1,u2…un)支配另一个向量v=(v1,v2…vn),当且仅当
ui≤vi
定义二
如果Ω中没有支配(优于)x的解,则称x是该问题的一个Pareto最优解(非劣解,有效解,非支配解)
Pareto最优解的全体组成的集合称为Pareto最优解集,Pareto最优解集在目标函数空间的像集称为Pareto Front(Pareto 前沿)

如上图所示,A,B两点中是一个最优解,他们相应的自变量向量没有被其他任何的自变量向量所支配,也就意味着在任何一个目标上他们都不能被其他个体所支配。这样的解就是Pareto最优解。
由定义一和定义二可知C点优于D点,C点优于F点,C点优于E点
…
其共同特点都是通过各种方式将多目标优化问题转化为单目标优化问题,然后应用单目标优化方法进行求解
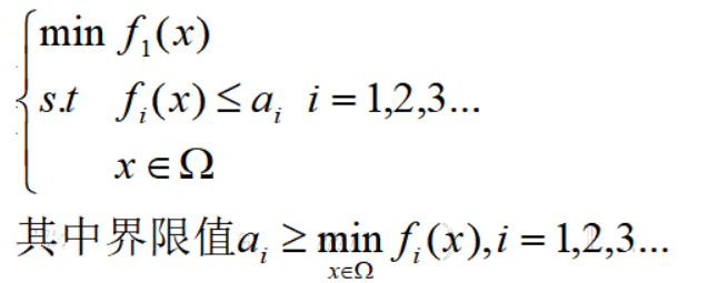
从m个目标中,确定一个为主要目标,其余目标作为次要目标,根据实际情况确定适当的界限值,把次要目标转化为约束条件来处理。可总述为下列模型
把m个目标,按照重要程度排一个次序。不妨重要程度次序为f1(x),f2(x)…fn(x),
先求问题1:
得到最优解为x(1),以及最优值为f1*
再求问题2:

得到最优解为x(2),以及最优值为f2*
再求问题3:
得到最优解为x(3),以及最优值为f3*
以此类推直至求出问题m,所得到的解[x1,x2…]记为最优解

对m个目标,按照重要程度给予适当的权系数ωi≥0,且满足∑ωi=1,即可将多优化问题转化为单一目标优化问题

所得到的解[x1,x2…]记为最优解
分别先求解m个单目标问题,令

即可转化为单目标问题

其中权系数ωi≥0,且满足∑ωi=1,所得到的解[x1,x2…]记为最优解