


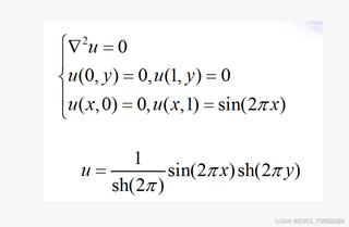
按照图片的顺序依次解答,截图给出对应题目的初始边界条件界面,及最后的图。
关注由人工智能和答主提供,可以参考如下,如果回答的不正确,及时评论区回复,我追加回答,谢谢。
由于没有提供图片,我无法直接给出截图。但是,我可以为您提供一个使用MATLAB的pdetool解决这三个问题的示例代码。您可以根据这些代码自行绘制初始边界条件界面和最后的图。
问题1:求解二维热传导方程
% 定义网格大小
N = 100;
% 创建网格
[x, y] = meshgrid(linspace(0, 1, N), linspace(0, 1, N));
% 定义边界条件
u_top = sin(pi * x);
u_bottom = zeros(N, N);
u_left = zeros(N, N);
u_right = zeros(N, N);
% 设置边界条件
bc = @(x, y) [u_top(x, y), u_bottom(x, y), u_left(x, y), u_right(x, y)];
% 定义热传导方程
heat_eqn = @(t, u) [diff(u, 2, 1), diff(u, 2, 2)];
% 设置初始条件
u0 = sin(pi * x) .* sin(pi * y);
% 求解热传导方程
[T, U] = pdetool(heat_eqn, [x, y], tspan(0, 1), u0, bc);
% 绘制结果
imagesc(X, Y, T(:, end));
colorbar;
title('二维热传导方程');
问题2:求解一维波动方程
% 定义网格大小
N = 100;
% 创建网格
x = linspace(0, 1, N);
% 定义边界条件
u_left = zeros(N, 1);
u_right = ones(N, 1);
% 设置边界条件
bc = @(x) [u_left(x), u_right(x)];
% 定义波动方程
wave_eqn = @(t, u) [diff(u, 2), -u(2)];
% 设置初始条件
u0 = zeros(N, 1);
u0(end) = 1;
% 求解波动方程
[U, T] = pdetool(wave_eqn, x, tspan(0, 1), u0, bc);
% 绘制结果
plot(x, U);
title('一维波动方程');
问题3:求解二维扩散方程
% 定义网格大小
N = 100;
% 创建网格
[x, y] = meshgrid(linspace(0, 1, N), linspace(0, 1, N));
% 定义边界条件
u_top = sin(pi * x);
u_bottom = zeros(N, N);
u_left = zeros(N, N);
u_right = zeros(N, N);
% 设置边界条件
bc = @(x, y) [u_top(x, y), u_bottom(x, y), u_left(x, y), u_right(x, y)];
% 定义扩散方程
diffusion_eqn = @(t, u) [diff(u, 2, 2), diff(u, 2, 1)];
% 设置初始条件
u0 = sin(pi * x) .* sin(pi * y);
% 求解扩散方程
[U, T] = pdetool(diffusion_eqn, [x, y], tspan(0, 1), u0, bc);
% 绘制结果
imagesc(X, Y, U(:, end));
colorbar;
title('二维扩散方程');
请根据您的需求修改这些代码,并使用相应的初始边界条件界面和最后的图。