请问12脉波整流机组的外特性曲线具体是如何推导出来的?请给出详细推导过程或具体的文章,要求有外特性的具体推导。
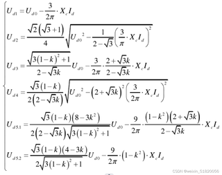
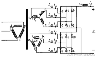
下图表示12脉波整流机组的外特性曲线以及结构,它是由一个三绕组变压器构成的。Ud表示输出电压,Ud0表示空载电压,Id表示输出电流,Xc表示换相电抗,k表示耦合系数。
现在自己Simulink仿真里面仿真结果与外特性对不上。


请问12脉波整流机组的外特性曲线具体是如何推导出来的?请给出详细推导过程或具体的文章,要求有外特性的具体推导。
下图表示12脉波整流机组的外特性曲线以及结构,它是由一个三绕组变压器构成的。Ud表示输出电压,Ud0表示空载电压,Id表示输出电流,Xc表示换相电抗,k表示耦合系数。
现在自己Simulink仿真里面仿真结果与外特性对不上。


关注该回答引用ChatGPT辅助答疑,若有帮助,还请题主采纳。
12脉波整流机组的外特性曲线可以通过以下步骤推导得到。在推导过程中,我们假设已经有一个完善的12脉波整流机组的电路模型,并且已经了解了在该电路中各个元件的参数和工作原理。
首先,确定整流机组的输入电压和负载电流范围,以及电路中的参数。这些参数包括变压器的匝数比、线圈电感、电阻、二极管等。
然后,根据当前电路的工作模式,可以使用典型的电路分析方法,如基尔霍夫定律、电路分流法等,来建立整流机组的电路方程。
根据建立的电路方程,可以得到一系列的方程组。通过求解这些方程组,可以得到整流机组电路中各个元件的电压、电流和功率等参数的表达式,这些参数将用于绘制外特性曲线。
在绘制外特性曲线时,主要关注的是整流机组的输入电压与输出电压(或输出电流)之间的关系。可以通过假设不同的输入电压或负载电流值,计算出对应的输出电压(或输出电流)值。
根据计算得到的输入-输出对应点,可以绘制出整流机组的外特性曲线。这些点可以根据需要进行插值,以获得更平滑的曲线。
需要注意的是,推导整流机组的外特性曲线需要对电力电路和电子器件有一定的了解,并且需要进行电路分析和计算。另外,由于整流机组的外特性受到输入电压、负载电流以及电阻、电感等参数的影响,因此在仿真结果与外特性对不上时,可能是由于电路模型、参数设定或仿真配置等方面的原因。可以仔细检查仿真配置和参数设置,或者参考相关的文献和实验结果来进行排查和修正。首先,微信小程序本身并不直接支持WebRTC和H.264/H.265编解码器。但是,您可以尝试通过以下方法来解决:
使用微信小程序提供的实时音视频能力(WebRTC 支持):微信小程序提供一些实时音视频API,比如wx.createLivePusherContext和wx.createLivePlayerContext,可以实现音视频的传输和渲染。然而,目前微信小程序只支持较高的编码延迟,可能无法满足您的低延迟要求。
借助第三方云服务:您可以考虑使用第三方云服务,如 Agora、Twilio 或 Tencent Cloud ,这些服务通常提供更完整的音视频传输解决方案,包括支持低延迟传输、H.264/H.265编解码器的支持。您可以在微信小程序中使用他们的相应SDK来实现您的需求。
请注意,具体的实现细节和技术细节可能因您的具体需求而有所不同,因此建议您按照您的特定需求进行更详细的研究和调查。此外,如果您对技术不熟悉或时间紧迫,您还可以考虑咨询专业的软件开发团队或个人来帮助您完成项目。
希望这些指导对您有帮助!