MATLAB R2022a
关于这个式子里面二重积分的计算,我一开始用的两次Int函数算的,计算速度过慢,要计算大量数据,所以我的这种方法几乎不可行,尝试其他的积分方法一直出错,时间紧迫,特来向大家学习。
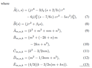
以下是要计算的式子:


然后下面是我编写的内容:


感觉也可能是因为定义的两个符号变量的问题,总之算的特别慢,绝对是有问题的
MATLAB R2022a
关于这个式子里面二重积分的计算,我一开始用的两次Int函数算的,计算速度过慢,要计算大量数据,所以我的这种方法几乎不可行,尝试其他的积分方法一直出错,时间紧迫,特来向大家学习。
以下是要计算的式子:


然后下面是我编写的内容:


感觉也可能是因为定义的两个符号变量的问题,总之算的特别慢,绝对是有问题的
Ancorr 晚上好🌙🌙🌙
本答案参考ChatGPT-3.5
在MATLAB中,要快速计算带参数的二重积分,可以尝试以下解决方案:
fun = @(z,s) exp(-alpha*(z+s))./sqrt(-A(z,s).*B);
I2 = quad2d(fun, 0, D, @(z) 0, @(z) z);
注意要定义好A(z, s)和B函数。
调整循环体限制:你在循环中遍历了2*L+1个m、n和k的值,如果这些值较大,循环体会重复执行很多次,导致计算速度过慢。你可以考虑减小L的取值,或者采用并行化技术(如parfor循环)来加速计算。
使用矢量化操作和向量化函数:在计算过程中,尽量使用矢量化操作和向量化函数,避免使用符号变量和复杂的表达式。这将大大提高计算效率。例如,可以将循环计算的过程矢量化,以避免使用for循环。
以上是一些建议,希望对你的问题有所帮助。