需要转化的方程组为托马斯方程组

以下是类似的例子
从这样:

转化成了这样

关注引自免费微信小程序:皆我百晓生
转换偏微分方程组(PDEs)为常微分方程组(ODEs)通常涉及将空间变量离散化,例如使用有限差分法、有限元方法或其他数值方法。对于给出的托马斯方程组和类似的传染病模型SIR方程组,它们都是在时间和空间上具有偏导数的偏微分方程。为了将其转化为微分方程组,可以采用以下步骤:
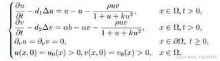
托马斯方程组简化表示如下:
对于u(x,t)的方程: -d1 * ∇²u = a - u - (1 + u + ku²), x ∈ Ω, t > 0 边界条件:u(x,0) = uo(x) > 0
对于v(x,t)的方程: -d2 * ∇²v = ab - av - (i + u + ku²), x ∈ Ω, t > 0 边界条件:v(x,0) = vo(x) > 0
假设你选择了一维空间网格,并对x轴进行离散化,得到节点x_j。那么可以通过中心差分或显式/隐式有限差分方法来近似空间导数∇²u和∇²v。
例如,一维情况下,对u(x,t)的二阶导数可以用中心差分公式近似: ∇²u(x_j,t) ≈ (u(x_j+Δx,t) - 2*u(x_j,t) + u(x_j-Δx,t)) / Δx²
类似地处理v(x,t)的方程。然后将这些近似代入原方程,得到u和v关于时间t的微分方程组,这是一个常微分方程组(ODEs),可以利用数值求解器(如Euler方法、Runge-Kutta方法等)进行求解。
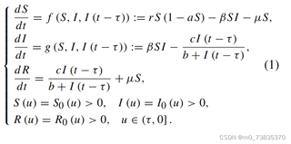
对于传染病模型SIR方程组,已经给出转化结果,即通过延迟算子(I(t-t))引入了时间延迟效应,这表明已经将空间维度忽略了,从而形成了仅依赖时间变量t的常微分方程组。
由于文本形式无法直接生成代码或图形,我将以伪代码形式描述如何对方程进行离散化:
# 假设dx是空间步长,dt是时间步长
# 初始化网格点上的u和v值
for j in range(num_nodes):
u[j] = uo(j*dx)
v[j] = vo(j*dx)
# 定义一个函数,用于更新u和v在每个时间步长上的值
def update_u_v(u, v, dt, dx, d1, d2, a, b, k, i):
for j in range(1, num_nodes - 1): # 内部节点
du_dt = (a - u[j] - (1 + u[j] + k*u[j]**2)) / d1 + diff2(u, j, dx)
dv_dt = (ab - a*v[j] - (i + u[j] + k*u[j]**2)) / d2 + diff2(v, j, dx)
# 使用适当的数值方法(如Euler、RK4等)计算下一时刻的u和v
u[j] = update_value(u[j], du_dt, dt)
v[j] = update_value(v[j], dv_dt, dt)
# 其中diff2是一个计算中心差分的辅助函数
def diff2(array, index, dx):
return (array[index+1] - 2*array[index] + array[index-1]) / dx**2
# 然后按照所需的时间步长循环调用update_u_v函数
for t in time_steps:
update_u_v(u, v, dt, dx, d1, d2, a, b, k, i)
以上是一种简化的示例,实际编程时需要根据具体的空间维度和问题边界条件进行相应的调整。