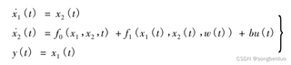
一般高阶控制对象可以近似简化为二阶控制对象,如何将图一传递函数,转化为适用于图二的二阶自抗扰模型?


用类似的方法

关注引用自InsCode AI 创作助手
对于给定的高阶传递函数图一,我们可以通过级联或并联等方法将其转化为一个二阶传递函数,以便进行二阶自抗扰控制。
一种常见的方法是通过级联两个一阶传递函数来实现二阶传递函数。假设传递函数图一为G(s),表示为G(s) = N(s)/D(s),其中N(s)和D(s)分别是分子多项式和分母多项式。
我们可以将G(s)表示为两个一阶传递函数的级联形式,即G(s) = G1(s) * G2(s),其中G1(s)表示一阶传递函数,G2(s)也表示一阶传递函数。
对于级联形式的传递函数,我们可以使用以下公式将其转化为二阶传递函数的形式:
G(s) = G1(s) * G2(s)
= (N1(s)/D1(s)) * (N2(s)/D2(s))
= (b1*s + a1) / (s^2 + c1*s + d1)
在上述公式中,b1和a1是一阶传递函数的分子和分母系数,c1和d1是二阶传递函数的分母多项式系数。
这样,我们就将给定的高阶传递函数G(s)转化为了二阶传递函数的形式,适用于二阶自抗扰控制。
同时,在转化为二阶传递函数后,我们可以根据实际需求选择合适的二阶自抗扰控制方法,例如使用二阶自抗扰控制器设计器进行控制器的设计和参数调节。
注意:具体的转化方法可能会因传递函数的形式和特性而有所不同,上述方法仅作为参考。在实际应用中,建议根据具体情况选择合适的转化方法。