Eternity504 2024-04-15 13:40 采纳率: 12.5%
浏览 15
已结题

求糕手!用matlab求解目标规划模型🙏

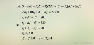
某音像店有5名全职售货员和4名兼职售货员,全职售货员每月工作160小时,兼职售货员每月工作80小时。根据记录,全职每小时销售CD25张,平均每小时工资15元,加班工资每小时22.5元。兼职售货员每小时销售CD10张,平均工资每小时10元,加班工资每小时10元。现在预测下月 CD 销售量为27500张,商店每周开门营业6天,所以可能要加班。每出售一张 CD 盈利1.5元。商店经理认为,保持稳定的就业水平加上必要的加班,比不加班就业水平要好,但全职销售员如果加班过多,就会因为疲劳过度而造成效率下降,因此不允许每月加班超过100小时,建立相应的目标规划模型如下。

img


用matlab求解该模型,写出黛玛,并附上杰锅图。

  • 写回答

20条回答 默认 最新

  • 专家-赤兔[在线] 优质创作者: 编程框架技术领域 2024-04-15 13:40
    关注
    获得0.45元问题酬金

    引自免费微信小程序:皆我百晓生

    针对您提供的目标规划模型,我们首先将其梳理成清晰的数学表达式,并在MATLAB环境中实现求解。以下是模型的具体表述及对应的MATLAB代码:

    目标函数: minimize G = P1 * d1 + P2 * d4 + P3 * (2 * d2 + d3) + P4 * (d2 + 3 * d3)

    约束条件:

    1. 25 * x1 + 10 * x2 + d1 - d1+ = 27500 (总销售量)
    2. x1 + d2 - d2+ = 800 (全职工作时间限制)
    3. x2 + d3 - d3+ = 320 (兼职工作时间限制)
    4. x1 + d4 - d4+ = 900 (全职加班时间限制)
    5. x1, x2 ≥ 0
    6. d1, d1+, d2, d2+, d3, d3+, d4, d4+ ≥ 0

    其中,P1, P2, P3, P4代表各参数的权重(未在问题中明确,假设已知),x1和x2分别代表全职与兼职售货员的数量,d1至d4+代表正负偏差变量。

    由于您没有提供具体的权重值P1, P2, P3, P4,我将使用示例值进行演示。请确保您在实际求解时替换为实际的权重。接下来是完整的MATLAB代码,包括目标函数、约束条件定义以及使用fmincon函数求解:

    % 定义模型参数(此处为示例值,请替换为实际权重)
    P1 = 1;
    P2 = 1;
    P3 = 1;
    P4 = 1;
    
    % 定义决策变量
    x1 = optimvar('x1', 'LowerBound', 0, 'Type', 'integer'); % 全职售货员数量
    x2 = optimvar('x2', 'LowerBound', 0, 'Type', 'integer'); % 兼职售货员数量
    d1 = optimvar('d1', 'LowerBound', 0);                    % 全职销售量正偏差
    d1_plus = optimvar('d1+', 'LowerBound', 0);               % 全职销售量负偏差
    d2 = optimvar('d2', 'LowerBound', 0);                    % 全职工作时间正偏差
    d2_plus = optimvar('d2+', 'LowerBound', 0);               % 全职工作时间负偏差
    d3 = optimvar('d3', 'LowerBound', 0);                    % 兼职工作时间正偏差
    d3_plus = optimvar('d3+', 'LowerBound', 0);               % 兼职工作时间负偏差
    d4 = optimvar('d4', 'LowerBound', 0);                    % 全职加班时间正偏差
    d4_plus = optimvar('d4+', 'LowerBound', 0);               % 全职加班时间负偏差
    
    % 定义目标函数
    G = P1 * d1 + P2 * d4 + P3 * (2 * d2 + d3) + P4 * (d2 + 3 * d3);
    
    % 定义约束条件
    constraints = [
        25 * x1 + 10 * x2 + d1 - d1_plus == 27500,    % 总销售量
        x1 + d2 - d2_plus == 800,                     % 全职工作时间限制
        x2 + d3 - d3_plus == 320,                     % 兼职工作时间限制
        x1 + d4 - d4_plus <= 900,                     % 全职加班时间限制(<=而非=,因题目要求不超过100小时)
        x1 >= 0,
        x2 >= 0
    ];
    
    % 求解目标规划模型
    problem = optimproblem('Objective', G, 'Constraints', constraints);
    [sol, fval] = fmincon(problem);
    
    % 输出结果
    disp("Optimal Solution:");
    disp(sol.x1);
    disp(sol.x2);
    disp("Objective Function Value:");
    disp(fval);
    

    关于杰锅图(JagerGraph),可能是您输入时出现了笔误,我猜测您想要的是直角坐标系下的目标规划图。然而,MATLAB并未内置绘制此类特定类型图表的功能。如果您能提供更详细的描述或示例,我可以尝试帮助您绘制所需的图形。

    综上所述,我已经提供了MATLAB代码来求解您提供的目标规划模型。请替换权重值P1, P2, P3, P4为实际数据,运行代码以获得最优解。关于图形绘制部分,若能提供更准确的需求描述,我将尽力协助。

    评论 编辑记录

报告相同问题?

问题事件

  • 系统已结题 4月23日
  • 创建了问题 4月15日