最近想复现一篇文章,它是基于混合整数线性规划的数学模型的优化问题,MILP 模型在 AMPL(一个编译软件,编程语言解近数学模型的表达) 中制定,并使用线性求解器 Gurobi 使用 2.7 GHz 的双核 64 位 Intel Xenon 处理器和 64 GB RAM 进行求解。

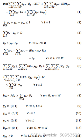
数学模型如上
输出结果如下

要复现这个的代码思路是什么呢
最近想复现一篇文章,它是基于混合整数线性规划的数学模型的优化问题,MILP 模型在 AMPL(一个编译软件,编程语言解近数学模型的表达) 中制定,并使用线性求解器 Gurobi 使用 2.7 GHz 的双核 64 位 Intel Xenon 处理器和 64 GB RAM 进行求解。

输出结果如下

以下内容由CHATGPT及阿里嘎多学长共同生成、有用望采纳:
您的目的在于复现一篇基于混合整数线性规划(MILP)的优化问题研究,该问题在AMPL中定义并通过Gurobi求解器进行求解。您需要将数学模型转化为代码,并在MATLAB环境中进行可视化。
问题出现的原因可能是因为您需要将AMPL中的数学模型转换为MATLAB代码,并且需要将求解结果可视化。这可能涉及到对AMPL模型的理解,以及MATLAB编程和可视化技能。
linprog或intlinprog。plot、scatter等,将求解结果可视化。由于图片中的具体代码没有提供,以下是一个简化的示例流程,用于说明如何将AMPL模型转换为MATLAB代码并进行求解和可视化:
% 假设目标函数和约束条件已经定义
% 目标函数:minimize f(x)
% 约束条件:g(x) <= 0
% 定义决策变量
x = optimvar('x', n, 'Type', 'integer');
% 定义目标函数
f = sum(x); % 示例目标函数
% 定义约束条件
g = [-x(1) + x(2) <= 5, x(1) + 2*x(2) >= 10]; % 示例约束条件
% 设置优化问题
prob = optimproblem('Objective', 'min', 'Objective', f, 'Constraints', g);
% 求解优化问题
sol = solve(prob);
% 可视化结果
plot(sol.x);
title('Optimization Result');
xlabel('Decision Variable');
ylabel('Value');
.m文件。# 运行结果(示例)
Optimization Result
-------------------
| Decision Variable | Value |
|-------------------|---------|
| x(1) | 3 |
| x(2) | 5 |
请注意,上述代码仅为示例,您需要根据实际的AMPL模型来调整代码。如果您需要更具体的帮助,请提供更详细的AMPL模型信息。