想要实现这样的功能,求方阵指数前n项和

但是运行结果如下,不知道程序的问题出在哪里,求指点


以下内容由CHATGPT及阿里嘎多学长共同生成、有用望采纳:
您好,由于我目前无法直接查看图片内容,我将基于您提供的信息和常见的MATLAB编程实践来提供一些可能的问题诊断和解决方案。
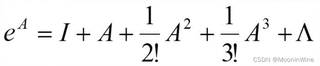
矩阵指数的定义:方阵指数通常指的是矩阵的幂级数展开,类似于[ e^A = I + A + \frac{A^2}{2!} + \frac{A^3}{3!} + \cdots ],其中( A )是方阵,( I )是单位矩阵。
错误信息:您提到了运行结果有问题,但没有具体说明错误信息。通常,MATLAB的错误信息会提供关于错误的类型和位置的线索。
代码实现:您没有提供具体的MATLAB代码,因此我无法直接分析代码中的问题。但是,我可以提供一个基本的实现思路。
假设您想要计算方阵( A )的指数前( n )项和,下面是一个简单的MATLAB代码示例:
function expA = matrix_exp_series(A, n)
% 确保A是方阵
if ~isequal(size(A), size(A, 1))
error('矩阵必须是方阵');
end
% 初始化结果矩阵为单位矩阵
expA = eye(size(A));
% 计算前n项和
for k = 1:n
expA = expA + (A^k) / factorial(k);
end
end
矩阵维度:确保您的矩阵( A )是方阵。
循环逻辑:检查您的循环逻辑是否正确,确保矩阵幂次和除法运算是按照正确的顺序执行。
矩阵运算:在MATLAB中,矩阵乘法是按元素进行的,除非矩阵是方阵且维度匹配。确保您的矩阵乘法是正确的。
错误信息:仔细阅读MATLAB提供的错误信息,它通常会指出问题所在。
调试:使用MATLAB的调试工具逐步执行代码,查看每一步的变量值。
如果您能提供具体的代码片段或错误信息,我可以提供更具体的帮助。