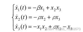
三、已知状态方程为

系数、初值的具体值见附件2。求解该方程的数值解,并分别画出状态变量的时间响应图、相空间的三维图。
三、已知状态方程为

系数、初值的具体值见附件2。求解该方程的数值解,并分别画出状态变量的时间响应图、相空间的三维图。
以下内容由CHATGPT及阿里嘎多学长共同生成、有用望采纳:
根据您提供的方程,我们首先需要明确方程的系数和初始条件。从您提供的图片中,我们可以看到状态方程如下:
[ \begin{align*} x_1(t) &= -\beta x_1 + x_2x_3, \ x_2(t) &= -px_2 + px_3, \ x_3(t) &= -x_1x_2 - 2\beta x_3. \end{align*} ]
然而,图片中并没有提供具体的系数 (\beta) 和 (p) 的值,以及初始条件 (x_1(0)), (x_2(0)), (x_3(0))。为了求解这个状态方程的数值解,我们需要这些具体的数值。
一旦我们有了这些数值,我们可以使用数值方法,如欧拉法或龙格-库塔法,来求解这些方程。以下是使用Python和SciPy库求解这些方程的一个基本示例:
import numpy as np
from scipy.integrate import odeint
import matplotlib.pyplot as plt
from mpl_toolkits.mplot3d import Axes3D
# 假设系数和初始条件如下,您需要替换为实际的数值
beta = 1.0 # 请替换为实际的beta值
p = 1.0 # 请替换为实际的p值
initial_conditions = [1.0, 1.0, 1.0] # 请替换为实际的初始条件
# 定义状态方程
def state_equations(y, t):
x1, x2, x3 = y
dx1dt = -beta * x1 + x2 * x3
dx2dt = -p * x2 + p * x3
dx3dt = -x1 * x2 - 2 * beta * x3
return [dx1dt, dx2dt, dx3dt]
# 定义时间范围
t = np.linspace(0, 10, 100) # 从0到10的时间范围,共100个点
# 求解数值解
sol = odeint(state_equations, initial_conditions, t)
# 绘制时间响应图
plt.figure(figsize=(12, 6))
for i in range(3):
plt.subplot(3, 1, i+1)
plt.plot(t, sol[:, i])
plt.title(f'Time Response of x{i+1}')
plt.xlabel('Time')
plt.ylabel(f'x{i+1}(t)')
plt.tight_layout()
plt.show()
# 绘制相空间的三维图
fig = plt.figure()
ax = fig.add_subplot(111, projection='3d')
ax.plot(sol[:, 0], sol[:, 1], sol[:, 2])
ax.set_xlabel('x1')
ax.set_ylabel('x2')
ax.set_zlabel('x3')
plt.title('Phase Space Plot')
plt.show()
请注意,这个代码只是一个示例,您需要根据实际的系数和初始条件进行调整。
至于参考资料,您可以参考以下资源来更深入地了解状态方程的数值解和相关编程技术:
如果您需要进一步的帮助,或者有具体的系数和初始条件,请提供详细信息,我将能够提供更具体的帮助。