2401_85531287 2024-06-20 19:56 采纳率: 0%
浏览 4

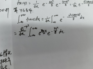
两个指数函数乘积的定积分

做到这里不会积了,第七题,算y的密度函数。有没有人能帮帮我,要考试了,还不会

img


第七题

img

  • 写回答

1条回答 默认 最新

  • 专家-赤兔[在线] 优质创作者: 编程框架技术领域 2024-06-20 19:56
    关注

    解法:将问题转换为积分计算。

    以上回复有部分引自免费微信小程序:皆我百晓生。 如问题尚未解决,还请稍待,如有疑问请回复进一步沟通。

    评论

报告相同问题?

问题事件

  • 创建了问题 6月20日