使用edge阅读pdf时遇到mathtype字体变形,而用其他软件阅读时(例如WPS,Adobe)不会出现这种情况;问问各位如何解决qvq。

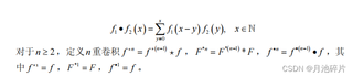
利用WPS阅读时的字体

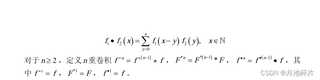
利用edge阅读时的字体
可以看到edge阅读时公式字体出现变形
使用edge阅读pdf时遇到mathtype字体变形,而用其他软件阅读时(例如WPS,Adobe)不会出现这种情况;问问各位如何解决qvq。


可以看到edge阅读时公式字体出现变形
已测试,此方法管用
在Edge浏览器地址栏输入:edge://flags/,然后找到「New PDF Viewer」选择Disabled关闭它。