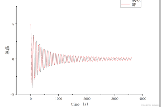
想请教大家一个问题,我用openfast和aqwa跑同一个浮式基础的自由衰减计算固有周期相差较大是什么原因呢,wamit文件是aqwa计算后导入的,其他参数也与aqwa设置一样

想请教大家一个问题,我用openfast和aqwa跑同一个浮式基础的自由衰减计算固有周期相差较大是什么原因呢,wamit文件是aqwa计算后导入的,其他参数也与aqwa设置一样

以下回复参考:皆我百晓生、券券喵儿等免费微信小程序作答:
首先,需要了解自由衰减实验是用来确定浮式结构固有周期的一种方法。在自由衰减实验中,结构被赋予一个初始位移或速度,然后让其自由振荡,通过测量振荡的衰减来确定结构的固有周期和阻尼特性。
对于您提到的问题,即使用OpenFAST和AQWA计算同一个浮式基础的自由衰减时固有周期相差较大,可能的原因包括:
模型差异:虽然您提到使用了相同的参数设置,但可能存在模型细节上的差异,如网格划分、附加质量、阻尼系数等。
数值方法差异:OpenFAST和AQWA可能使用了不同的数值求解方法,这可能导致计算结果的差异。
边界条件和初始条件:两个软件在处理边界条件和初始条件时可能有所不同,这也会影响计算结果。
软件版本和更新:不同版本的软件可能包含不同的算法改进或错误修复,这可能会影响计算结果。
数据处理和分析:数据的后处理和分析方法也可能影响最终的结果。
为了解决这个差异,建议您采取以下步骤:
由于您提供的信息有限,无法给出具体的数学推导。但是,以上分析应该能够帮助您理解可能的原因,并指导您进行进一步的调查和解决问题。