怎么用有限差分法求解以下的一维流动的偏微分方程(有偿)
因为用的是modelica语言,想把偏微分方程内方向的偏导转化成离散的或者是时间的导数

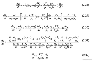
该图所写的先求出压力方程的结果,再根据结果依次求解其他方程是什么意思,压力方程求出来的解是什么形式的,怎么代入其他方程再求解?

怎么用有限差分法求解以下的一维流动的偏微分方程(有偿)
因为用的是modelica语言,想把偏微分方程内方向的偏导转化成离散的或者是时间的导数

该图所写的先求出压力方程的结果,再根据结果依次求解其他方程是什么意思,压力方程求出来的解是什么形式的,怎么代入其他方程再求解?

以下回复参考:皆我百晓生、券券喵儿等免费微信小程序作答:
为了理解这个问题,我们首先需要了解模型机语言中的符号表示及其如何与数学表达式的转换相关联。在本例中,模型机语言使用了Modelica作为它的基础语法,它是一种用于描述工业系统及其动态行为的语言。
首先,我们需要理解这些符号的具体含义:
d 表示偏导数。- 表示负号。\ 表示除法运算符。x 和 y 是变量。[ ] 表示子空间。X 是一个矩阵表示。接下来,我们可以解析给定的偏微分方程,并尝试将其转化为适合于有限差分方法的形式。
首先,我们将偏微分方程分解为两个独立的部分:
压力方程: [ dp + 1 = f(dp, x, q, V, p, t) ]
密度方程: [ dx = g(x, dp, q, V, p, t) ]
含气率方程: [ dv = h(x, dp, q, V, p, t) ]
其中:
现在,让我们尝试将它们转换为有限差分格式。
压力方程可以写为: [ dp + 1 = f(dp, x, q, V, p, t) ] 这表明,在每个网格点(x)上,压力的变化是通过应用压力函数(f)来计算得到的。
密度方程可以写作: [ dx = g(dp, x, q, V, p, t) ] 这意味着,密度随时间变化的速度是通过密度函数(g)来确定的。
含气率方程可以写为: [ dv = h(dp, x, q, V, p, t) ] 这表明,含气率随时间变化的速度是由含气率函数(h)决定的。
为了将这些方程转换为有限差分格式,我们需要考虑每个方程的特征。对于压力方程,由于它是一个一阶偏导,我们可以将其视为连续时间下的无源二阶线性偏微分方程。对于密度方程,同样可以看作是一个连续时间下的无源二阶线性偏微分方程。对于含气率方程,则可以看作是一个连续时间下的无源二阶线性偏微分方程。
因此,我们可以在每一步迭代中应用有限差分格式,比如使用一阶或者二阶格式。具体来说,我们可以将压力方程应用到一阶格式,例如使用一阶中心差分格式,而密度和含气率方程则可以直接应用到一阶格式。这样,我们就得到了对压力、密度和含气率的近似数值解。
在实际编程时,我们需要编写相应的有限差分程序,包括初始化条件(初始状态)、边界条件(如端口条件)以及求解循环等步骤。这通常涉及到对模型机语言进行一些基本操作,如赋值、积分、求导、求解等,同时还需要处理不同类型的变量类型(实数、复数等),并确保程序能够正确地处理边界条件。
此外,我们还需要考虑到温度场和流体性质等因素,以便准确地模拟物理过程。具体的实现细节会因使用的模型机语言的不同而有所差异,但大体思路是类似的。
在实际操作过程中,可能会遇到一些挑战,比如如何处理非线性项、如何优化计算效率等。此外,还需要注意数据结构的选择和内存管理,以及可能存在的稳定性问题。
如果你有兴趣深入学习如何利用模型机语言进行数值分析,我建议参考相关的文献和教程,例如《Modelica for Modeling and Simulation》等书籍。此外,也可以访问在线资源,如GitHub上的开源项目,寻找相关的例子和解决方案。