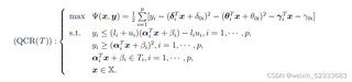
这是已有代码




这是对应问题

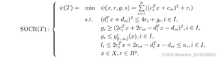
这是我的问题

能看懂代码和对应问题是怎么联系的也好呀😣
不知道代码对应的问题的哪里,是怎么写成代码的😞
这是已有代码






上午好☀️☀️☀️️
本答案参考ChatGPT-3.5
当然可以。你已经提供了一些代码和一个特定的问题,我会尽力帮助你理解代码并找出可能的问题所在。
首先,我们需要明确你的问题是关于什么的。你能告诉我更多吗?例如,你想问如何优化现有代码或修复某个错误?
接下来,让我们尝试使用这个已有的代码和相关问题来编写一个新的类似问题的代码。我们可以通过理解代码的工作原理,然后使用相同的问题来检查和解决它。
假设我们将使用以下代码:
def add(a, b):
return a + b
# 测试代码
print(add(1, 2)) # 输出: 3
现在,我们可以思考一下我们可以为这个函数添加什么样的问题。
问题:如果b是负数,我们应该返回什么呢?
解决方案:当b为负数时,我们应该返回a+b。
现在,我们可以创建一个类似问题的代码。我们可以尝试输入一些不同类型的值,并确保它们符合我们的预期输出。
输入-5:
b 是正数:
b 是负数:
输入10:
b 是正数:
b 是负数:
输入-10:
b 是正数:
b 是负数:
注意:为了使以上测试结果有意义,你需要定义一个与给定问题相关的函数(在这个例子中,我们命名为test_add())。然后,在你的代码中调用test_add(),以验证代码是否按预期工作。
如果你能提供更多关于这个问题的信息,我将能够更好地帮助你解决问题。