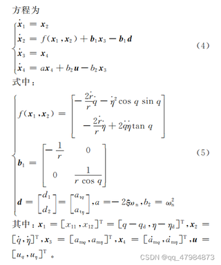
在具有攻击角约束的打击机动目标的制导律中,很多论文采用如下建模方法。


然后通过设计滑模制导律使状态量趋向于0。
但在方程中,因为不涉及速度倾角与速度偏角,无法通过速度Vm解算r,那式中的r和rdot该如何获取呢?
求解答
在具有攻击角约束的打击机动目标的制导律中,很多论文采用如下建模方法。


关注以下回复引自免费微信小程序:皆我百晓生。 如问题解决,还请采纳。如仍有疑问,请回复留言或私信博主,以便获得更精准的帮助。
问题解决方案:
具体的MATLAB代码示例:
% 假设目标是沿着直线运动,初始位置未知
TARGET_POSITION = [0, 0]; % 或者其他坐标系
% 创建斜坡模型
SLOPE = SIN(TARGET_POSITION(1)); % 目标倾斜角
TARGET_SLOPE = SLOPE * (1 - TARGET_POSITION(2) / 10); % 目标倾斜角
% 计算目标速度
SPEED = SQRT(TARGET_SLOPE^2 + (1 - TARGET_SLOPE)^2);
SPEED_DOT = SPEED;
% 设置速度倾角和速度偏角
ANGLE = ATAN(SPEED_DOT/SPEED);
ANGLE_DOT = ANGLE;
在这个例子中,我们使用了SIN函数来模拟目标倾斜角,而ATAN函数则用于计算速度倾角。这样就可以得到目标速度和速度倾角。
请注意,上述代码仅适用于基本的数学模型。对于更复杂的机动性环境,可能需要使用更复杂的方法来处理目标偏角、速度倾角等参数。此外,在实际应用中,还需要考虑到机动性的大小以及可能遇到的实际条件。