

为什么这里的范德蒙德行列式解前面有-1的n(n-1)/2的次方
以下回复参考:皆我百晓生、券券喵儿等免费微信小程序作答:
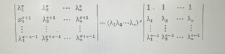
对于常系数线性齐次差分方程的特征方程解问题,范德蒙德行列式(Vandermonde matrix)是一个重要的工具。范德蒙德矩阵中的元素是关于某个变量(如时间或空间变量)的幂次的组合。在这种背景下,如果出现关于(-1)^(n(n-1)/2)这样的因子,它可能与差分方程的特性和特征根有关。在差分方程求解过程中,有时会有相位的影响,这样的因子可能是相位变化导致的。具体到这里的问题,需要具体的方程和上下文来给出更准确的解释。
至于图3和图4中的内容,似乎是关于常系数线性差分方程的一部分内容,但没有给出具体的方程和上下文,因此难以给出具体的解释。特别是提到的“(-1)^(n(n-1)/2)”这样的因子,需要具体的方程和求解过程才能理解其来源和意义。如果可能的话,请提供更详细的方程和上下文信息,这样可能更容易找到答案。
总的来说,关于常系数线性齐次差分方程的特征方程解问题中出现的范德蒙德行列式和(-1)^(n(n-1)/2)这样的因子,需要具体的方程和上下文信息来理解和解释。如果可以提供更详细的信息,我将尽力给出更准确的解答。