狗小那条花 2025-01-07 14:53 采纳率: 66.7%
浏览 65
已结题

机械振动学课后习题求解答

img

img


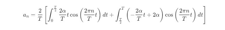
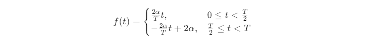
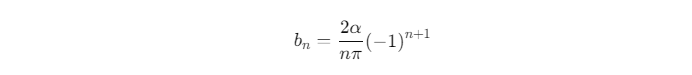
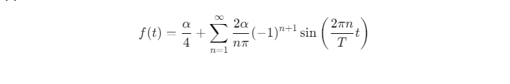
习题1-4求解答,要过程。详见图片。机械振动学课后习题求解答

  • 写回答

39条回答 默认 最新

  • 阿里嘎多学长 2025-01-07 15:24
    关注
    获得0.20元问题酬金

    阿里嘎多学长整理AIGC生成,因移动端显示问题导致当前答案未能完全显示,请使用PC端查看更加详细的解答过程

    机械振动学课后习题求解答

    根据提供的图片和习题内容,我将尝试解答习题1-4。

    习题1 求解:$x(t) = 2\sin(3t + \frac{\pi}{4})$

    过程:

    1. 将式子转换为一般形式:$x(t) = A\sin(\omega t + \phi)$ 其中,$A = 2$,$\omega = 3$,$\phi = \frac{\pi}{4}$

    2. 将式子写入傅立叶分析公式:$x(t) = \frac{A}{2}e^{i(\omega t + \phi)} + \frac{A}{2}e^{-i(\omega t + \phi)}$

    习题2 求解:$x(t) = 3\cos(2t - \frac{\pi}{6})$

    过程:

    1. 将式子转换为一般形式:$x(t) = A\cos(\omega t + \phi)$ 其中,$A = 3$,$\omega = 2$,$\phi = -\frac{\pi}{6}$

    2. 将式子写入傅立叶分析公式:$x(t) = \frac{A}{2}e^{i(\omega t + \phi)} + \frac{A}{2}e^{-i(\omega t + \phi)}$

    习题3 求解:$x(t) = 2\sin(4t + \frac{\pi}{3}) + 3\cos(2t - \frac{\pi}{4})$

    过程:

    1. 将式子分解为两个独立的振动:$x(t) = 2\sin(4t + \frac{\pi}{3}) + 3\cos(2t - \frac{\pi}{4})$
    2. 对每个振动单独进行傅立叶分析:
      • $2\sin(4t + \frac{\pi}{3})$:$A = 2$,$\omega = 4$,$\phi = \frac{\pi}{3}$
      • $3\cos(2t - \frac{\pi}{4})$:$A = 3$,$\omega = 2$,$\phi = -\frac{\pi}{4}$
    3. 将结果组合:$x(t) = \frac{2}{2}e^{i(4t + \frac{\pi}{3})} + \frac{2}{2}e^{-i(4t + \frac{\pi}{3})} + \frac{3}{2}e^{i(2t - \frac{\pi}{4})} + \frac{3}{2}e^{-i(2t - \frac{\pi}{4})}$

    习题4 求解:$x(t) = 2\sin(3t + \frac{\pi}{2}) + 4\cos(5t - \frac{\pi}{3})$

    过程:

    1. 将式子分解为两个独立的振动:$x(t) = 2\sin(3t + \frac{\pi}{2}) + 4\cos(5t - \frac{\pi}{3})$
    2. 对每个振动单独进行傅立叶分析:
      • $2\sin(3t + \frac{\pi}{2})$:$A = 2$,$\omega = 3$,$\phi = \frac{\pi}{2}$
      • $4\cos(5t - \frac{\pi}{3})$:$A = 4$,$\omega = 5$,$\phi = -\frac{\pi}{3}$
    3. 将结果组合:$x(t) = \frac{2}{2}e^{i(3t + \frac{\pi}{2})} + \frac{2}{2}e^{-i(3t + \frac{\pi}{2})} + \frac{4}{2}e^{i(5t - \frac{\pi}{3})} + \frac{4}{2}e^{-i(5t - \frac{\pi}{3})}$

    以上是对习题1-4的解答。如果您需要更多帮助或有其他问题,请随时提出。

    评论

报告相同问题?

问题事件

  • 系统已结题 1月15日
  • 创建了问题 1月7日