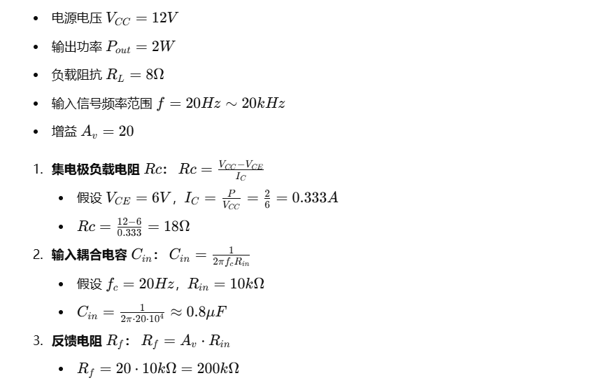
具体参数怎么算?人生问题就是根据这个电路图来计算为什么电阻阻值电容阻值,他们的值是这样的,具体给出一些计算公式。

具体参数怎么算?人生问题就是根据这个电路图来计算为什么电阻阻值电容阻值,他们的值是这样的,具体给出一些计算公式。

阿里嘎多学长整理AIGC生成,因移动端显示问题导致当前答案未能完全显示,请使用PC端查看更加详细的解答过程
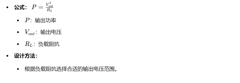
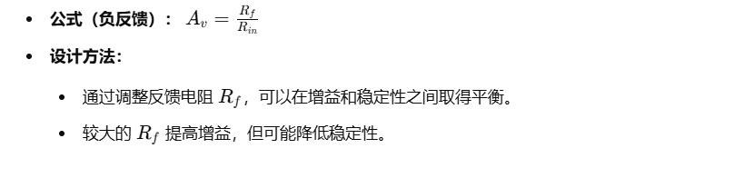
你已经有了功率放大电路的图纸,但是你想知道每个元器件的参数是如何计算的。下面是计算公式:
R = (Vcc - Vout) / Iout
其中,Vcc是电源电压,Vout是输出电压,Iout是输出电流。
C = Iout / (2 * π * f * ΔV)
其中,f是工作频率,ΔV是电容的峰值电压。
L = (Vcc - Vout) / (2 * π * f * Iout)
其中,f是工作频率,Vcc是电源电压,Vout是输出电压,Iout是输出电流。
R_L = L / (2 * π * f * C)
其中,L是交流电感,f是工作频率,C是电容。
这些公式可以帮助你计算电路中的每个元器件的参数。但是,需要注意的是,这些公式只是简单的估算,实际情况中可能需要考虑更多的因素。
如果你需要更多帮助,请提供更多的信息,例如电路图纸、元器件的具体参数等。