2501_90449789 2025-01-29 11:05 采纳率: 0%
浏览 9

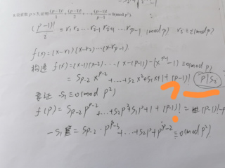
初学者数在一道论题上的疑惑

请问在以下解题步骤中为什么p整除Si
过程肯定是对的,就是上课没听懂
求解惑

img

  • 写回答

3条回答 默认 最新

  • 檀越@新空间 2025-01-29 11:15
    关注

    上午好☀️☀️☀️️
    本答案参考通义千问

    为了帮助您更好地理解为什么在某个解题步骤中 ( p ) 整除 ( S_i ),我们需要先明确一些背景信息和可能涉及的数学概念。通常,这种问题会出现在数论或代数组合的题目中,特别是在处理素数、整除性或模运算时。

    假设您的问题是关于某个特定的证明或解题过程,其中涉及到一个素数 ( p ) 和一系列的整数 ( S_i )(( i = 1, 2, \ldots, n )),并且需要证明 ( p ) 能够整除 ( S_i )。

    解决方案

    1. 理解问题背景:

      • 确认 ( p ) 是否为素数。
      • 明确 ( S_i ) 的定义或计算方式。
    2. 回顾基本定理:

      • 如果 ( p ) 是素数且 ( p ) 整除 ( ab ),则 ( p ) 必须整除 ( a ) 或 ( b )(或两者)。
      • 如果 ( p ) 整除 ( a^k ),则 ( p ) 也整除 ( a )(如果 ( k > 0 ))。
    3. 具体分析 ( S_i ):

      • 如果 ( S_i ) 是由其他已知可以被 ( p ) 整除的表达式构成,则直接说明 ( S_i ) 也能被 ( p ) 整除。
      • 如果 ( S_i ) 通过某种组合(如求和、乘积等)得到,则需要检查这些组合是否满足 ( p ) 的整除条件。
    4. 使用数学归纳法:

      • 如果 ( S_i ) 是一个递归定义的序列,尝试使用数学归纳法来证明 ( p ) 总能整除 ( S_i )。
    5. 检查具体例子:

      • 举一些具体的数值例子来验证 ( p ) 是否整除 ( S_i )。

    示例

    假设 ( S_i = a_i + b_i ),并且已知 ( p ) 整除 ( a_i ) 和 ( b_i ),那么 ( p ) 也会整除 ( S_i )。

    1. 背景信息:

      • 假设 ( a_i \equiv 0 \mod p ) 和 ( b_i \equiv 0 \mod p )。
    2. 基本定理应用:

      • 由于 ( a_i ) 和 ( b_i ) 都是 ( p ) 的倍数,因此 ( a_i + b_i ) 也是 ( p ) 的倍数。
    3. 具体分析:

      • 由于 ( a_i \equiv 0 \mod p ) 和 ( b_i \equiv 0 \mod p ),则 ( a_i + b_i \equiv 0 + 0 \equiv 0 \mod p )。
    4. 数学归纳法:

      • 如果 ( S_i ) 定义为 ( S_{i+1} = S_i + c_i ),且 ( p ) 整除 ( c_i ),则可以通过归纳法证明 ( p ) 总能整除 ( S_i )。
    5. 检查具体例子:

      • 取 ( p = 3 ),( a_1 = 6 ),( b_1 = 9 ),则 ( S_1 = 6 + 9 = 15 ),显然 ( 15 ) 能被 ( 3 ) 整除。

    希望以上分析能够帮助您理解为什么 ( p ) 整除 ( S_i )。如果您有更具体的题目或背景信息,请提供更多细节以便进一步解释。

    评论

报告相同问题?

问题事件

  • 创建了问题 1月29日