在进行CCG子问题计算中对偶转化,我的推导是正确的吗,仿真跑不出来,崩溃。
仿真中给Lata1 Lata2设置上限后才能出现结果,但结果及其大(即对偶变量取值到最大值)

在进行CCG子问题计算中对偶转化,我的推导是正确的吗,仿真跑不出来,崩溃。
仿真中给Lata1 Lata2设置上限后才能出现结果,但结果及其大(即对偶变量取值到最大值)

一杯年华@编程空间帮您解答,本答案结合 ChatGPT4.0和DeepSeek整理
我曾经遇到过类似的问题,当时也是在做优化问题的对偶转化时推导出错,导致仿真一直崩溃,后来通过系统排查才找到症结。结合你的情况,我分析问题可能出在对偶转化的推导细节上——比如原问题与对偶问题的变量、约束对应关系混乱,约束矩阵没有正确转置,或者目标函数的方向、变量符号约束设置错误等,这些都会导致对偶问题结构不合理,进而让仿真无法运行。
接下来我给出两种解决方案:
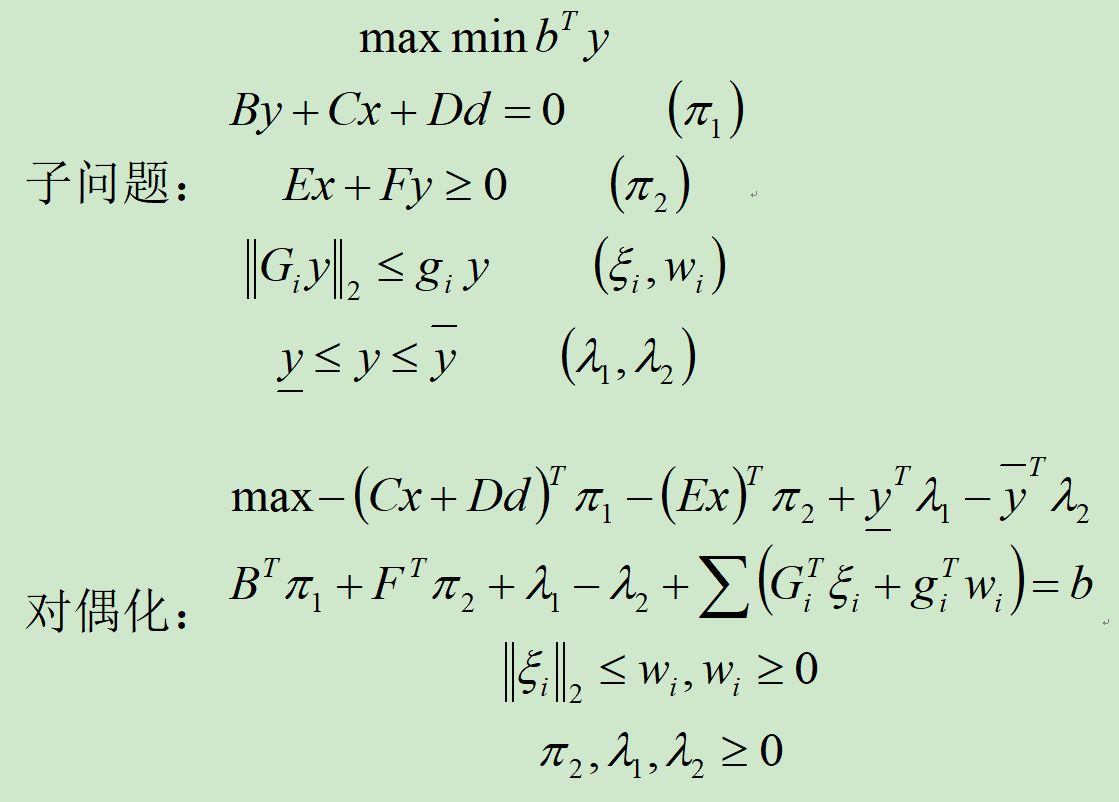
第一种方案是严格对照线性规划对偶规则重新推导。具体来说,先把原问题的目标函数和所有约束(包括等式约束$B y + C x + D d = 0$、不等式约束$E x + F y \geq 0$、变量边界$\underline{y} \leq y \leq \overline{y}$以及范数约束$|G_i y|_2 \leq g_i y$)逐条列出来,明确每个约束的类型(等式还是不等式)和变量的符号限制;然后根据对偶规则,等式约束对应无符号限制的对偶变量(比如$\pi_1$),不等式约束($\geq$型)对应非负对偶变量(比如$\pi_2 \geq 0$),变量的下界$\underline{y} \leq y$对应非负对偶变量$\lambda_1 \geq 0$,上界$y \leq \overline{y}$对应非负对偶变量$\lambda_2 \geq 0$;再检查目标函数,原问题是$\max \min b^T y$,对偶问题的目标函数需要对应转换,确保方向(max/min)和系数正确;最后核对约束矩阵是否转置,比如原问题中$B$、$F$等矩阵在对偶问题中应转为$B^T$、$F^T$,避免矩阵维度或结构错误。
第二种方案是用简化案例验证推导。先设计一个不含复杂范数约束、变量维度较低的简化版CCG子问题,比如只保留等式约束和简单不等式约束,手动求解原问题的最优解;再按照你的推导步骤写出这个简化问题的对偶问题,求解对偶问题的最优解;通过验证“原问题最优值=对偶问题最优值”(强对偶性)来判断推导是否正确。如果简化案例中对偶转化正确,再逐步加入范数约束、变量边界等复杂条件,逐个验证新增部分的对偶转化是否合理,避免一次性处理复杂问题导致错误难以定位。
其中最优的是第一种方案。因为对偶转化的核心是严格遵循对偶规则,任何细节偏差(比如一个矩阵忘记转置、一个对偶变量符号设错)都会导致整体结构错误。具体操作时,我会分三步:第一步,在纸上清晰写出原问题的所有要素——目标函数的方向(max/min)、每个约束的表达式和类型(等式/不等式)、变量的取值范围;第二步,对照对偶规则“一对一”构造对偶问题:原问题的每个约束对应一个对偶变量,原问题的每个变量对应对偶问题的一个约束,确保对偶变量的符号与原约束类型匹配(等式约束的对偶变量无符号,不等式约束的对偶变量非负/非正);第三步,逐项检查目标函数和约束中的系数矩阵是否转置、目标函数方向是否正确(原max对应对偶min,原min对应对偶max),特别是范数约束$|G_i y|_2 \leq g_i y$转化为$|\xi_i|_2 \leq w_i, w_i \geq 0$时,要确认$\xi_i$与$G_i$的对应关系和系数矩阵转置是否正确。通过这种逐要素对照的方式,能从根本上排除推导错误,比简化案例验证更直接解决核心问题。
按照这个步骤重新推导后,对偶问题的结构会更严谨,仿真崩溃的问题大概率能解决。楼主可以试试,若有不清楚的地方请继续留言,希望采纳我的建议。