使用Bilidown工具批量下载B站视频时,频繁请求易触发平台反爬机制,导致账号被限流或封禁。常见问题是:如何在高效下载的同时规避账号风险?需探讨合理设置请求间隔、IP轮换、Cookie管理及模拟真实用户行为等策略,平衡下载效率与账号安全。
1条回答 默认 最新
关注让【宝码香车】来帮你解答,本回答参考DeepSeek编写,并整理提供。
如果还有疑问可以“评论”。如果答案让您满意,请“采纳”,非常感谢!
针对Bilidown批量下载时避免账号被封禁的问题,以下是详细的解决方案:
请求频率控制策略
1. 合理设置请求间隔
import time import random class SafeDownloader: def __init__(self): self.base_delay = 3 # 基础延迟秒数 self.random_range = 2 # 随机延迟范围 def safe_delay(self): """安全延迟函数""" delay = self.base_delay + random.uniform(0, self.random_range) time.sleep(delay) def batch_download(self, video_list): for video in video_list: # 下载操作 self.download_video(video) # 添加安全延迟 self.safe_delay()2. IP轮换机制
import requests from itertools import cycle class IPRotator: def __init__(self, proxy_list): self.proxies = cycle(proxy_list) def get_next_proxy(self): return next(self.proxies) def download_with_proxy_rotation(self, urls): for url in urls: proxy = self.get_next_proxy() try: response = requests.get(url, proxies={"http": proxy, "https": proxy}) # 处理响应 except Exception as e: print(f"代理 {proxy} 失败: {e}")完整的防护策略实现
import time import random import requests from fake_useragent import UserAgent class BiliSafeDownloader: def __init__(self, cookies, proxies=None): self.cookies = cookies self.proxies = proxies or [] self.ua = UserAgent() self.request_count = 0 self.session = requests.Session() def get_headers(self): """生成随机请求头""" return { 'User-Agent': self.ua.random, 'Referer': 'https://www.bilibili.com/', 'Accept': 'text/html,application/xhtml+xml,application/xml;q=0.9,*/*;q=0.8', 'Accept-Language': 'zh-CN,zh;q=0.9,en;q=0.8', 'Connection': 'keep-alive' } def intelligent_delay(self): """智能延迟策略""" base_delay = 5 # 基础延迟 if self.request_count > 50: base_delay = 10 # 高频请求后增加延迟 elif self.request_count > 100: base_delay = 15 delay = base_delay + random.uniform(0, 3) time.sleep(delay) def safe_request(self, url, max_retries=3): """安全请求函数""" for attempt in range(max_retries): try: headers = self.get_headers() # 轮换代理 if self.proxies: proxy = random.choice(self.proxies) proxies = {'http': proxy, 'https': proxy} else: proxies = None response = self.session.get( url, headers=headers, cookies=self.cookies, proxies=proxies, timeout=30 ) self.request_count += 1 self.intelligent_delay() if response.status_code == 200: return response elif response.status_code == 412: # 触发反爬 print("触发反爬机制,延长等待时间") time.sleep(60) continue except Exception as e: print(f"请求失败 (尝试 {attempt + 1}/{max_retries}): {e}") time.sleep(10) return None配置管理
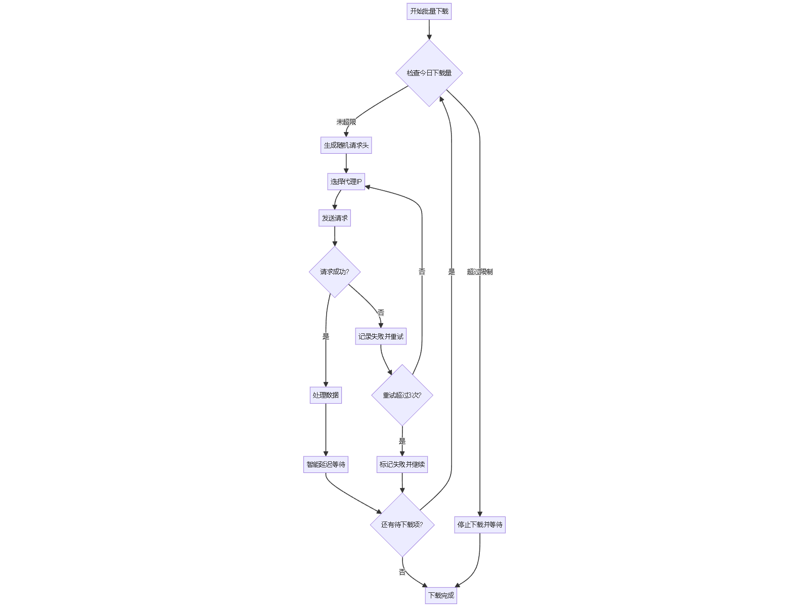
# config.yaml download_config: base_delay: 5 random_delay_range: 3 batch_size: 10 daily_limit: 100 retry_times: 3 proxy_settings: enabled: true update_interval: 3600 # 代理更新间隔(秒) user_behavior: simulate_scroll: true random_breaks: true break_interval: 30风险规避流程

最佳实践建议
1. Cookie管理
import json import os class CookieManager: def __init__(self, cookie_file='cookies.json'): self.cookie_file = cookie_file def save_cookies(self, cookies): """保存Cookie到文件""" with open(self.cookie_file, 'w', encoding='utf-8') as f: json.dump(cookies, f, ensure_ascii=False, indent=2) def load_cookies(self): """从文件加载Cookie""" if os.path.exists(self.cookie_file): with open(self.cookie_file, 'r', encoding='utf-8') as f: return json.load(f) return None def rotate_cookies(self, cookie_list): """轮换使用多个Cookie""" return random.choice(cookie_list)2. 监控与报警
class Monitor: def __init__(self): self.error_count = 0 self.last_alert_time = 0 def check_risk(self, response): """检查响应中的风险信号""" if response.status_code in [412, 403]: self.error_count += 1 if self.error_count > 5: self.send_alert("检测到频繁封禁风险") return False return True def send_alert(self, message): """发送风险警报""" current_time = time.time() if current_time - self.last_alert_time > 3600: # 1小时内不重复报警 print(f"警报: {message}") self.last_alert_time = current_time关键注意事项
- 下载频率控制:单账号每日下载量建议不超过50个视频
- 时间分布:避免在短时间内集中下载,分散到不同时间段
- 行为模拟:添加随机滚动、页面停留等模拟用户行为
- 异常处理:遇到412状态码立即停止,等待1小时以上再继续
- 多账号轮换:使用多个B站账号轮流下载,分散风险
通过以上策略的组合使用,可以在保证下载效率的同时,最大程度降低账号被封禁的风险。
解决 无用评论 打赏 举报