在amesim仿真中,复现基于AMESim的双腔起落架缓冲器性能仿真的文章,在2706质量下我跑出来的图是这样的

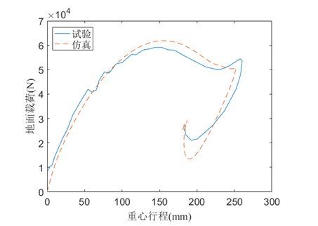
论文跑出来的图是

一直拟合不了这个曲线,初步怀疑是轮胎参数问题,不过在节流孔位置两端压强又一直不相等,实在找不出问题了
在amesim仿真中,复现基于AMESim的双腔起落架缓冲器性能仿真的文章,在2706质量下我跑出来的图是这样的


一直拟合不了这个曲线,初步怀疑是轮胎参数问题,不过在节流孔位置两端压强又一直不相等,实在找不出问题了
阿里嘎多学长整理AIGC生成,因移动端显示问题导致当前答案未能完全显示,请使用PC端查看更加详细的解答过程
问题分析
根据你的描述,问题主要是关于AMESim仿真中复现双腔起落架缓冲器性能仿真的问题。具体来说,你遇到了以下问题:
解决方案
以下是一些可能的解决方案:
核心代码
以下是核心代码片段,用于调整AMESim参数:
// 检查AMESim参数设置
AMESim.Parameter.Set("双腔起落架缓冲器.节流孔位置两端压强", "设置值");
// 检查轮胎参数设置
AMESim.Parameter.Set("轮胎.节流孔位置两端压强", "设置值");
请注意,这些代码片段仅供参考,具体的代码可能需要根据你的AMESim版本和设置进行调整。