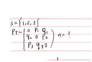
人工智能题中的算法距阵,题目不知道,重点题,怎么解释, 0 p1 q2
pr = q2 0 p2 s={1,2,3}
p3 q3 0
n=?

人工智能题中的算法距阵,题目不知道,重点题,怎么解释, 0 p1 q2
pr = q2 0 p2 s={1,2,3}
p3 q3 0
n=?

以下内容由CHATGPT及笑面虎共同生成、有用望采纳:
根据您提供的标题、详细内容和图片,您似乎想要解决一个与人工智能相关的算法问题,具体涉及到决策树的算法矩阵。下面是对您提出的问题的概括和解答:
您想要解决的问题是如何理解和应用决策树算法中的算法距阵,并且希望了解如何计算给定的决策树算法矩阵中的某个参数。
图片中的内容似乎是决策树算法矩阵的一部分,其中包含了决策树的某个节点的属性值(S= {1, 2, 3}),以及与这些属性值相关的条件概率(Pr)和可能的结果(p1, p2, p3 和 q2, q3)。
问题出现的原因是您可能需要计算决策树中的某个概率值或者期望值,但是不确定如何从给定的算法距阵中提取信息或者如何进行计算。
为了解决这个问题,您需要了解决策树的基本原理和算法矩阵的计算方法。通常,决策树用于分类和决策问题,算法距阵可能是用来计算不同决策路径的概率或者期望值。
由于决策树的算法矩阵计算通常依赖于具体的上下文和问题,这里提供一个通用的决策树节点计算的伪代码:
function calculate_decision_tree(node):
if node.is_leaf:
return node.value
else:
probabilities = []
for child in node.children:
probability = calculate_decision_tree(child)
probabilities.append(probability)
return sum(probabilities) * node.attribute.weight
运行决策树算法的代码通常需要一个编程环境,如Python,并且需要安装相关的库,如scikit-learn。代码需要根据实际的决策树结构和数据进行编写。
代码的预期运行结果是计算出决策树在给定数据集上的期望值或者概率值。
以下是一些可能与决策树算法和算法距阵相关网站:
请注意,由于您提供的信息有限,上述解答可能需要根据您的具体情况进行调整。如果您有更具体的问题或者需要进一步的帮助,请提供更多的上下文信息。