已知

已知

以下内容由CHATGPT及阿里嘎多学长共同生成、有用望采纳:
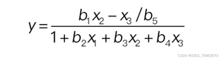
从您提供的信息来看,您需要确定数学模型中的参数βi,其中i=1,2,3,4,5,以便模型能够准确反映给定的参考值。然而,您提供的数学公式似乎不完整,并且存在一些语法错误,这使得直接解决问题变得困难。根据您提供的公式片段:
[ y = \frac{x^2 - X}{b} \cdot \frac{1}{1 + b_2 \cdot x + b_x^2 + b_4 \cdot x} ]
这里有几个问题需要澄清:
为了解决这个问题,我们需要一个完整的数学模型以及更清晰的参数定义。假设您的模型大致是正确的,并且您需要根据参考值来确定β参数,通常这类问题可以通过优化算法来解决,比如最小二乘法(Least Squares Method)。
最小二乘法是一种常用的参数估计方法,它通过最小化模型预测值和实际值之间的平方差来寻找最佳拟合参数。在Python中,您可以使用scipy.optimize模块中的curve_fit函数来实现最小二乘拟合。
下面是一个使用curve_fit的示例代码,假设您的模型参数和形式已经明确:
import numpy as np
from scipy.optimize import curve_fit
# 假设这是您的模型函数,其中beta是参数列表
def model_function(x, *beta):
# 根据beta参数构建模型
return ...
# 您的参考值数据
x_data = np.array([...]) # x的值
y_data = np.array([...]) # 对应的y值
# 初始参数猜测
initial_guess = [1, 0.05, 0.02, 0.1, 2]
# 使用curve_fit进行拟合
params, params_covariance = curve_fit(model_function, x_data, y_data, p0=initial_guess)
# 输出最佳拟合参数
print(params)
请注意,您需要根据实际的模型函数来替换model_function中的实现,并提供实际的数据点x_data和y_data。
至于参考资料,您可以参考以下资源:
如果您能提供更完整的模型信息和数据,我可以提供更具体的帮助。