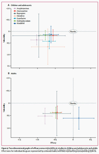
#请问,这种meta中的二维图是用R做的吗(刚接触R不久),感觉是把两个指标的森林图放一起了,想试着做一下但是没有头绪,用netmeta包forest功能可以实现吗?感谢~~

#请问,这种meta中的二维图是用R做的吗(刚接触R不久),感觉是把两个指标的森林图放一起了,想试着做一下但是没有头绪,用netmeta包forest功能可以实现吗?感谢~~

以下回复参考:皆我百晓生、券券喵儿等免费微信小程序作答:
这种二维森林图可以使用R语言的netmeta包来实现。首先,你需要安装并加载netmeta包,然后使用netmeta函数进行元分析,最后使用forest.meta函数绘制二维森林图。
以下是一个简单的示例:
# 安装并加载netmeta包
install.packages("netmeta")
library(netmeta)
# 准备数据
data <- data.frame(
study = c("study1", "study2", "study3"),
treatment = c("A", "B", "C"),
control = "D",
effectSize = c(0.5, -0.3, 0.8),
lowerLimit = c(-0.1, -0.5, 0.3),
upperLimit = c(1.1, 0.1, 1.3),
tolerability = c(10, 5, 8),
efficacy = c(15, 12, 18)
)
# 进行元分析
results <- netmeta(
measure = c("RR", "RD", "RD"),
mi2 = c(NA, NA, NA),
intercept = c(NA, NA, NA),
treat = c("treatment", "control", "ref"),
ai = c(NA, NA, NA),
bi = c(NA, NA, NA),
d = c(NA, NA, NA),
within = "study",
data = data,
studlab = "study",
author = "",
title = "",
note = "",
header = TRUE,
digit.divisor = 1000,
refmat = FALSE,
col.ref = "black",
col.int = "black",
col.diamond = "black",
col.lines = "black",
col.predict = "black"
)
# 绘制二维森林图
forest.meta(results, type = "forest.2d")
这个示例中,我们首先创建了一个包含研究、治疗、对照、效应大小、置信区间和两个指标(耐受性和有效性)的数据框。然后,我们使用netmeta函数进行元分析,并将结果存储在results对象中。最后,我们使用forest.meta函数绘制二维森林图。