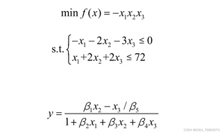
分别用Matlab与Excel计算非线性规划问题,如图所示。

以下内容由CHATGPT及阿里嘎多学长共同生成、有用望采纳:
解决非线性规划问题通常需要使用优化工具箱。在Matlab中,可以使用fmincon函数来解决约束优化问题,而在Excel中,可以使用求解器(Solver)工具来解决。
在Matlab中,你可以使用以下代码来解决这个问题:
% 定义目标函数
objective = @(x) -x(1)*x(2)*x(3);
% 定义约束条件
constraints = [
x(1) + 2*x(2) + 2*x(3) <= 72;
x(1) - x(3)/beta == 1 + beta^2*x(1) + beta^2*x(2) + beta^4*x(3)
];
% 定义参数beta
beta = 1; % 假设beta的值为1,如果beta有其他值需要调整
% 初始猜测值
initial_guess = [10, 10, 10];
% 调用fmincon函数
options = optimoptions('fmincon', 'Display', 'iter');
[x_min, fval] = fmincon(objective, initial_guess, [], [], [], [], ...
0, [], constraints, options);
% 输出结果
disp('最小化目标函数的解:');
disp(x_min);
disp('目标函数的最小值:');
disp(fval);
请注意,你需要根据实际情况调整beta的值,以及可能需要调整初始猜测值以获得更好的收敛性。
在Excel中,你可以使用求解器来解决这个问题。以下是一般步骤:
x1,x2,x3的单元格。由于Excel求解器不支持直接编程,你需要手动设置约束条件和目标函数。此外,Excel求解器可能对非线性问题的处理不如Matlab强大,因此可能需要更多的手动调整和尝试。
请注意,这些链接可能需要根据你的具体情况进行调整。如果你需要更详细的指导或示例,建议查阅上述参考资料或咨询相关领域的专家。